Παραμένουν σε υψηλά επίπεδα τα κρούσματα του κορωνοϊού, με τον ΕΟΔΥ να ανακοινώνει σήμερα 9.294 νέα κρούσματα, 13 θανάτους και 93 διασωληνωμένους – δείκτης που αυξάνεται για δεύτερη συνεχή ημέρα.
Τα νέα εργαστηριακά επιβεβαιωμένα κρούσματα της νόσου(άτομα) που καταγράφηκαν τις τελευταίες 24 ώρες ήταν 9.294. Ο συνολικός αριθμός των ατόμων που νόσησαν ανέρχεται σε 3.616.874 (ημερήσια μεταβολή +0.2%), εκ των οποίων 48.6% άνδρες.
Ο αριθμός πιθανών νέων επαναλοιμώξεων που καταγράφηκαν τις τελευταίες 24 ώρες ήταν 1.592 ενώ από την αρχή της πανδημίας SARS-CoV-2 ο συνολικός αριθμός εκτιμάται σε 160.165(4.2% του συνολικού αριθμού των θετικών αποτελεσμάτων).
Ημερήσια εξέλιξη της πανδημίας:
Στο Διάγραμμα 1 παρουσιάζεται η ημερήσια κατανομή των επιβεβαιωμένων κρουσμάτων(ατόμων) και ο 7ήμερος κυλιόμενος μέσος όρος του αριθμού των κρουσμάτων.
Στο Διάγραμμα 2 παρουσιάζεται ο αριθμός των επαναλοιμώξεων ανά ημερομηνία λήψης δείγματος και ο 7ήμερος κυλιόμενος μέσος όρος των επαναλοιμώξεων.

Οι νέοι θάνατοι ασθενών με COVID-19 είναι 13, ενώ από την έναρξη της επιδημίας έχουν καταγραφεί συνολικά 30.178 θάνατοι.
Το 95.7% είχε υποκείμενο νόσημα ή/και ηλικία 70 ετών και άνω.
Στο Διάγραμμα 3 παρουσιάζεται η ημερήσια κατανομή των θανάτων και ο 7ήμερος κυλιόμενος μέσος όρος του αριθμού των θανάτων.

Πίνακας 1. Ηλικιακή κατανομή των νέων θανάτων ασθενών με COVID-19 (Ποσοστό στο σύνολο των νέων θανάτων).

Ο αριθμός των ασθενών που νοσηλεύονται διασωληνωμένοι είναι 93 (59.1% άνδρες). Η διάμεση ηλικία τους είναι 70 έτη. To 92.5% έχει υποκείμενο νόσημα ή/και ηλικία 70 ετών και άνω. Μεταξύ των ασθενών που νοσηλεύονται διασωληνωμένοι, 44 (47.31%) είναι ανεμβολίαστοι ή μερικώς εμβολιασμένοι και 49 (52.69%) είναι πλήρως εμβολιασμένοι.
Από την αρχή της πανδημίας έχουν εξέλθει από τις ΜΕΘ 4.721 ασθενείς. Οι εισαγωγές νέων ασθενών COVID-19 στα νοσοκομεία της επικράτειας είναι 216 (ημερήσια μεταβολή -2.7%). Ο μέσος όρος εισαγωγών του επταημέρου είναι 183 ασθενείς.
Η διάμεση ηλικία των κρουσμάτων είναι 37 έτη (εύρος 0.2 έως 112 έτη), ενώ η διάμεση ηλικία των θανόντων είναι 80 έτη (εύρος 0.2 έως 106 έτη).
Διάγραμμα 4: Ηλικιακή Κατανομή κρουσμάτων, νοσηλευόμενων στις MEΘ και ασθενών που απεβίωσαν από την αρχή της πανδημίας

Ακολούθως παρουσιάζεται η ηλικιακή κατανομή των (α) συνολικών κρουσμάτων, (β) των περιστατικών που κατέληξαν σε θάνατο και (γ) των ασθενών που νοσηλεύονται διασωληνωμένοι:

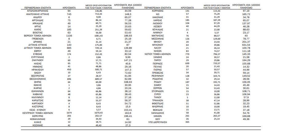
Κατανομή ανακοινωθέντων εγχώριων κρουσμάτων: Από το σύνολο των 10.886 νέων κρουσμάτων του νέου ιού στη χώρα 2 είναι εισαγόμενα. Η κατανομή των 10.884 νέων εγχώριων κρουσμάτων ανά Περιφερειακή Ενότητα παρουσιάζεται στον κατωτέρω πίνακα.
Πίνακας 3: Ημερήσιος αριθμός και κρούσματα ανά 100.000 πληθυσμού επιβεβαιωμένων εγχώριων κρουσμάτων COVID-19 ανά περιφερειακή ενότητα στις 26 Ιουνίου 2022.


cnn.gr









